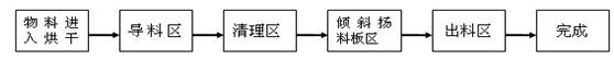
煤泥烘干机工作四区
[作者:烘干机_烘干设备_干燥机厂家-万泰机械制造公司]
[日期:11-11-07]
[热度:]
煤泥烘干机是由热源、打散装置、带式上料机、进料机、回转滚筒、带式出料机、引风机、卸料器和配电柜构成的新型专用烘干设备。
煤泥烘干设备完整的工艺流程为:

导料区:湿煤泥进入此区与高温热风接触迅速蒸发水分,物料在大导角的抄板抄动下,未粘结便被导入下一工作区;
清理区:湿煤泥在此区被抄板抄起形成料幕状态,物料落下时易形成粘结滚筒壁现象,在此区由于烘干机设备设计有清扫装置,清扫装置便十分合理地清扫了内壁粘附的物料,在这个过程中,清扫装置对于物料团球结块也起破碎作用,从而增加了热交换面积,提高了干燥速率;
倾斜扬料板区:湿煤泥在此区已呈低水分松散状态,物料在此区已不具有粘结现象,经过热交换后物料达到所要求的水分状态,进入最后的出料区;
出料区:滚筒在此区不设抄板,物料在此区滚动滑行至排料口,完成整个烘干过程。